Fontos egyenlőtlenségek

  1. A középarányosok közötti egyenlőtlenségek:

  2. a) Két elemre

    b) Három elemre

    c) n elemre

    d) Geometriai jelentése

    e) Geometriai bizonyítása a számtani és mértani közepek egyenlőtlenségének

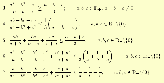
Érdekesebb egyenlőtlenségek:

(a képletekre kattintva, láthatod a megoldását az első kettőnek. A többit reméljük, meg tudod oldani.)

  1. Cauchy-Bunyakovskij-Schwarz egyenlőtlenség