Egy szabályos hatszöget megforgatunk előbb az egyik majd a másik szimmetriatengelye körül. Melyik forgástest térfogata lesz a nagyobb? Melyik forgástest felszíne lesz a nagyobb?
Megoldás: Előbb tárgyaljuk azt az esetet, amikor a szimmetriatengely valamely oldal felezőpontján halad át.
Így néznek ki a térrajzok ebben az esetben:


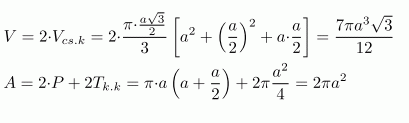
Tehát két egybevágó csonkakúp alkotja a téridomot.

A másik szimmetriatengely körüli forgatás eredménye a következő:


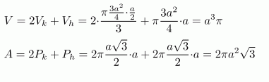
Ezt a téridomot két egybevágó kúp és egy henger alkotja.


