Ferde hajítás

A t csúszkával mozgathatjuk a testet a pályáján.

Az α segítségével a hajítási szöget állíthatjuk.

A v segítségével a hajítás kezdősebességét állíthatjuk.

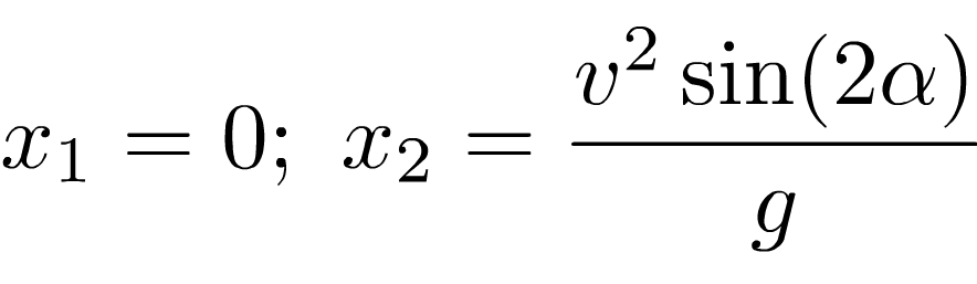
Ez egy sajátos másodfokú függvény. Hiányzik a szabadtagja. Gyökei:

Egy adott kezdő sebesség esetén akkor repül a legmesszébb, mikor a sin értéke 1.